close
close

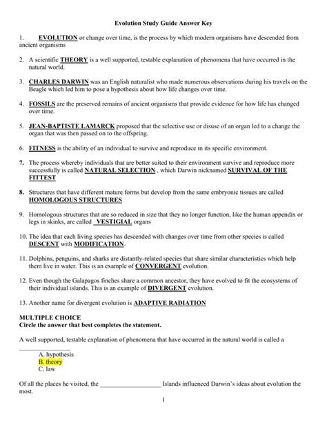
13 Best Images of Phase Changes Of Matter Worksheet Phase Change
13 Best Images of Phase Changes Of Matter Worksheet Phase Change from www.worksheeto.com

Understand the Environment and Change Over Time Worksheet Answers

What is an Environment and Change Over Time Worksheet?

An Environment and Change Over Time Worksheet is a type of worksheet that is used in many classrooms. It is designed to help students understand how different environments and different times affect the environment and the people living in it. It also helps students understand how different types of changes can affect the environment, and the effects that certain changes can have in the future.

How Does an Environment and Change Over Time Worksheet Work?

The Environment and Change Over Time Worksheet provides students with questions that they can answer in order to gain a better understanding of the environment and how it changes over time. These questions focus on different aspects of the environment, such as the climate, the environment’s resources, the environment’s biodiversity, and the environment’s human activities. By answering the questions, students can gain an understanding of how the environment and its various components interact and change over time.

What Are Some Examples of Environment and Change Over Time Questions?

Examples of Environment and Change Over Time questions include: What is the current climate of the area? What is the current population of the area? What are the major human activities in the area? How has the environment changed over the past 10 years? What are the effects of climate change on the environment?

What Are the Benefits of Answering the Environment and Change Over Time Questions?

Answering the Environment and Change Over Time questions can help students gain a better understanding of the environment and how it changes over time. This knowledge can help students make informed decisions when it comes to protecting the environment and making sure that the environment is not negatively impacted by human activities. Furthermore, by understanding the environment and its changes, students can become more aware of the effects that their own actions have on the environment and how they can help to protect it.

Conclusion

An Environment and Change Over Time Worksheet is a great way for students to gain a better understanding of the environment and how it changes over time. By answering the questions, students can gain a better understanding of how the environment and its various components interact and change over time. Furthermore, this knowledge can help students make more informed decisions when it comes to protecting the environment and making sure that the environment is not negatively impacted by human activities.


Understand The Environment And Change Over Time Worksheet Answers


13 Best Images of Phase Changes Of Matter Worksheet Phase Change
13 Best Images of Phase Changes Of Matter Worksheet Phase Change from www.worksheeto.com

Understand the Environment and Change Over Time Worksheet Answers

What is an Environment and Change Over Time Worksheet?

An Environment and Change Over Time Worksheet is a type of worksheet that is used in many classrooms. It is designed to help students understand how different environments and different times affect the environment and the people living in it. It also helps students understand how different types of changes can affect the environment, and the effects that certain changes can have in the future.

How Does an Environment and Change Over Time Worksheet Work?

The Environment and Change Over Time Worksheet provides students with questions that they can answer in order to gain a better understanding of the environment and how it changes over time. These questions focus on different aspects of the environment, such as the climate, the environment’s resources, the environment’s biodiversity, and the environment’s human activities. By answering the questions, students can gain an understanding of how the environment and its various components interact and change over time.

What Are Some Examples of Environment and Change Over Time Questions?

Examples of Environment and Change Over Time questions include: What is the current climate of the area? What is the current population of the area? What are the major human activities in the area? How has the environment changed over the past 10 years? What are the effects of climate change on the environment?

What Are the Benefits of Answering the Environment and Change Over Time Questions?

Answering the Environment and Change Over Time questions can help students gain a better understanding of the environment and how it changes over time. This knowledge can help students make informed decisions when it comes to protecting the environment and making sure that the environment is not negatively impacted by human activities. Furthermore, by understanding the environment and its changes, students can become more aware of the effects that their own actions have on the environment and how they can help to protect it.

Conclusion

An Environment and Change Over Time Worksheet is a great way for students to gain a better understanding of the environment and how it changes over time. By answering the questions, students can gain a better understanding of how the environment and its various components interact and change over time. Furthermore, this knowledge can help students make more informed decisions when it comes to protecting the environment and making sure that the environment is not negatively impacted by human activities.


No comments:

Post a Comment